 |
Matronics Email Lists Web Forum Interface to the Matronics Email Lists
|
| View previous topic :: View next topic |
| Author |
Message |
hotwheels
Joined: 01 Jun 2007 Posts: 240
|
Posted: Wed Jun 13, 2007 6:45 am Post subject: brake / fuel line fittings nut torque |
|
|
How tight should the nuts be on the brake / fuel line fitting nuts?
Thanks in advance for replies...
Regards,
Jay
Be a better Globetrotter. Get better travel answers from someone who knows. Yahoo! Answers - Check it out.
http://answers.yahoo.com/dir/?link=list&sid=396545469
| | - The Matronics RV10-List Email Forum - | | | Use the List Feature Navigator to browse the many List utilities available such as the Email Subscriptions page, Archive Search & Download, 7-Day Browse, Chat, FAQ, Photoshare, and much more:
http://www.matronics.com/Navigator?RV10-List |
|
|
|
| Back to top |
|
 |
scottmschmidt(at)yahoo.co Guest
|
Posted: Wed Jun 13, 2007 8:50 am Post subject: brake / fuel line fittings nut torque |
|
|
That is a very good question. I have asked this quite a few times and I get a different answer every time.
From what I have researched there is no specific torque values. When I toured Lancair, the engine builder there told me to tighten it until it was snug (you can feel with when the flared fitting is touching both sides of the fitting and nut) then go an additional 1/4 to 1/2 turn.
Other comments I have received are:
"Just tight enough that it won't leak"
"Just snug it up and check for leaks"
I actually made some fittings on the bench, tightened them up then took them apart to check for any tearing or excessive deformation and sort of calibrated myself. I know that it is more important to have a top of the line flaring tool and to also not over or under flare the tubing.
You may want to call Bart at Aerosport and ask him.
Good Luck.
Scott Schmidt
scottmschmidt(at)yahoo.com
---
| | - The Matronics RV10-List Email Forum - | | | Use the List Feature Navigator to browse the many List utilities available such as the Email Subscriptions page, Archive Search & Download, 7-Day Browse, Chat, FAQ, Photoshare, and much more:
http://www.matronics.com/Navigator?RV10-List |
|
|
|
| Back to top |
|
 |
ScooterF15
Joined: 19 Jun 2006 Posts: 136
|
Posted: Wed Jun 13, 2007 9:38 am Post subject: brake / fuel line fittings nut torque |
|
|
I think the torque values are listed in my copy of Standard Aircraft Handbook for Mechanics and Technicians. I don't have access to it right now so I can't tell you what it says.
I used those values and ended up with some leaks so I tightened them "Just tight enough that it won't leak" and then started the practice of "Just snug it up and check for leaks". With further experience with a particularly annoying brake line leak, I found "tightening and loosening the nut several times before torquing it helped to achieve a tight seal". So there is one more comment to add to the list.
-Jim
40134
In a message dated 6/13/2007 12:53:04 P.M. Eastern Daylight Time, scottmschmidt(at)yahoo.com writes:
| Quote: | That is a very good question. I have asked this quite a few times and I get a different answer every time.
From what I have researched there is no specific torque values. When I toured Lancair, the engine builder there told me to tighten it until it was snug (you can feel with when the flared fitting is touching both sides of the fitting and nut) then go an additional 1/4 to 1/2 turn.
Other comments I have received are:
"Just tight enough that it won't leak"
"Just snug it up and check for leaks"
I actually made some fittings on the bench, tightened them up then took them apart to check for any tearing or excessive deformation and sort of calibrated myself. I know that it is more important to have a top of the line flaring tool and to also not over or under flare the tubing.
You may want to call Bart at Aerosport and ask him.
Good Luck.
Scott Schmidt
scottmschmidt(at)yahoo.com
----- Original Message ----
From: Jay Brinkmeyer <jaybrinkmeyer(at)yahoo.com>
To: RV10 <rv10-list(at)matronics.com>
Sent: Wednesday, June 13, 2007 7:44:01 AM
Subject: brake / fuel line fittings nut torque
|
Jim "Scooter" McGrew
http://www.mit.edu/~jsmcgrew
See what's free at AOL.com.
[quote][b]
| | - The Matronics RV10-List Email Forum - | | | Use the List Feature Navigator to browse the many List utilities available such as the Email Subscriptions page, Archive Search & Download, 7-Day Browse, Chat, FAQ, Photoshare, and much more:
http://www.matronics.com/Navigator?RV10-List |
|
|
|
| Back to top |
|
 |
pitts_pilot(at)bellsouth. Guest
|
|
| Back to top |
|
 |
LarryRosen
Joined: 16 Jan 2006 Posts: 415 Location: Medford, NJ
|
Posted: Wed Jun 13, 2007 12:08 pm Post subject: brake / fuel line fittings nut torque |
|
|
Is there a way to test the systems prior to completion? I have most of
the break lines in, but since the plane is not on its gear yet it is not
complete, How do I test it.
Same with the fuel system. How do I test it with out the fuel tanks?
Larry Rosen
linn Walters wrote:
| Quote: |
Jay Brinkmeyer wrote:
>
> <jaybrinkmeyer(at)yahoo.com>
>
> How tight should the nuts be on the brake / fuel line fitting nuts?
>
Tight enough not to leak. . I tighten to 'fairly snug'.
Linn
do not archive
>
> Thanks in advance for replies...
> Regards,
> Jay
>
> Be a better Globetrotter. Get better travel answers from
> someone who knows. Yahoo! Answers - Check it out.
> http://answers.yahoo.com/dir/?link=list&sid=396545469
>
>
>
|
| | - The Matronics RV10-List Email Forum - | | | Use the List Feature Navigator to browse the many List utilities available such as the Email Subscriptions page, Archive Search & Download, 7-Day Browse, Chat, FAQ, Photoshare, and much more:
http://www.matronics.com/Navigator?RV10-List |
|
_________________ Larry Rosen
#40356
N205EN (reserved)
<http> |
|
| Back to top |
|
 |
MauleDriver(at)nc.rr.com Guest
|
Posted: Wed Jun 13, 2007 1:33 pm Post subject: brake / fuel line fittings nut torque |
|
|
I recently bought a torque wrench for sockets. I don't see how it would
work on a line fitting. Does this require a different type of torque
wrench?
JSMcGrew(at)aol.com wrote:
| Quote: | I think the torque values are listed in my copy of Standard Aircraft
Handbook for Mechanics and Technicians. I don't have access to it
right now so I can't tell you what it says.
I used those values and ended up with some leaks so I tightened them
"Just tight enough that it won't leak" and then started the practice
of "Just snug it up and check for leaks". With further experience with
a particularly annoying brake line leak, I found "tightening and
loosening the nut several times before torquing it helped to achieve a
tight seal". So there is one more comment to add to the list.
-Jim
40134
|
| | - The Matronics RV10-List Email Forum - | | | Use the List Feature Navigator to browse the many List utilities available such as the Email Subscriptions page, Archive Search & Download, 7-Day Browse, Chat, FAQ, Photoshare, and much more:
http://www.matronics.com/Navigator?RV10-List |
|
|
|
| Back to top |
|
 |
Deems Davis
Joined: 09 Jan 2006 Posts: 925
|
Posted: Wed Jun 13, 2007 1:42 pm Post subject: brake / fuel line fittings nut torque |
|
|
Check out 'crows foot/feet' at you favorite tool supplier. They're open
end wrench extensions designed to be used on a socket wrench.
WRT to torque, depending on how you use them, their use requires some
arithmetic conversion, as they can extend the 'arm' that is applying the
torque.
Deems Davis # 406
Baffling / Plenum / Engine Stuff
http://deemsrv10.com/
MauleDriver wrote:
| Quote: |
I recently bought a torque wrench for sockets. I don't see how it
would work on a line fitting. Does this require a different type of
torque wrench?
|
| | - The Matronics RV10-List Email Forum - | | | Use the List Feature Navigator to browse the many List utilities available such as the Email Subscriptions page, Archive Search & Download, 7-Day Browse, Chat, FAQ, Photoshare, and much more:
http://www.matronics.com/Navigator?RV10-List |
|
|
|
| Back to top |
|
 |
planesmith(at)hotmail.com Guest
|
Posted: Wed Jun 13, 2007 8:30 pm Post subject: brake / fuel line fittings nut torque |
|
|
I've been testing my brake lines, as I build them, with a handheld vacuum pump. Just plug one end of a line and pull a vacuum at the other with a hand operated Mitivac. I figure if they will hold a vacuum they should hold brake fluid.
If you go this route, I think Mitivacs are available through a number of sources (Aircraft Tool Supply and automotive outlets as well.) I've as heard the aluminum ones hold up better than the plastic bodies.
Vern Smith (#324 fuselage)
| Quote: | Date: Wed, 13 Jun 2007 16:07:55 -0400
From: LarryRosen(at)comcast.net
To: rv10-list(at)matronics.com
Subject: Re: brake / fuel line fittings nut torque
--> RV10-List message posted by: Larry Rosen <LarryRosen(at)comcast.net>
Is there a way to test the systems prior to completion? I have most of
the break lines in, but since the plane is not on its gear yet it is not
complete, How do I test it.
Same with the fuel system. How do I test it with out the fuel tanks?
Larry Rosen
linn Walters wrote:
> --> RV10-List message posted by: linn Walters <pitts_pilot(at)bellsouth.net>
>
> Jay Brinkmeyer wrote:
>
>> --> RV10-List message posted by: Jay Brinkmeyer
>> <jaybrinkmeyer(at)yahoo.com>
>>
>> How tight should the nuts be on the brake / fuel line fitting nuts?
>>
> Tight enough not to leak. . I tighten to 'fairly snug'.
> Linn
> do not archive
>
>>
>> Thanks in advance for replies...
>> Regards,
>> Jay
>>
>>
>>
>> Be a better Globetrotter. Get better travel answers from
>> someone who knows. Yahoo! Answers - Check it out.
>> http://answers.yahoo.com/dir/?link=list&sid=396545469
>>
>>
>>
>>
>>
>>
>>
>
>
>
>
>
>
>>
|
Hotmail to go? Get your Hotmail, news, sports and much more! Check out the New MSN Mobile [quote][b]
| | - The Matronics RV10-List Email Forum - | | | Use the List Feature Navigator to browse the many List utilities available such as the Email Subscriptions page, Archive Search & Download, 7-Day Browse, Chat, FAQ, Photoshare, and much more:
http://www.matronics.com/Navigator?RV10-List |
|
|
|
| Back to top |
|
 |
Rick S.
Joined: 12 Feb 2006 Posts: 347 Location: Las Vegas
|
Posted: Thu Jun 14, 2007 5:33 am Post subject: brake / fuel line fittings nut torque |
|
|
LOL....well not if the molecules of air are larger than that of the brake fluid taking into consideration of the expansion of the air (mostly nitrogen) molecules under vacuum vs. the size of the brake fluid molecules under pressure.
After all the fuel tank leak physics must apply somewhere in this too right? ;D
Rick S.
40185
do not archive
| | - The Matronics RV10-List Email Forum - | | | Use the List Feature Navigator to browse the many List utilities available such as the Email Subscriptions page, Archive Search & Download, 7-Day Browse, Chat, FAQ, Photoshare, and much more:
http://www.matronics.com/Navigator?RV10-List |
|
_________________ Rick S.
RV-10
40185 |
|
| Back to top |
|
 |
flywithowen(at)gmail.com Guest
|
Posted: Thu Jun 14, 2007 6:01 am Post subject: brake / fuel line fittings nut torque |
|
|
| | - The Matronics RV10-List Email Forum - | | | Use the List Feature Navigator to browse the many List utilities available such as the Email Subscriptions page, Archive Search & Download, 7-Day Browse, Chat, FAQ, Photoshare, and much more:
http://www.matronics.com/Navigator?RV10-List |
|
|
|
| Back to top |
|
 |
LloydDR(at)wernerco.com Guest
|
Posted: Thu Jun 14, 2007 7:10 am Post subject: brake / fuel line fittings nut torque |
|
|
A set of crows foot wrenches will enable you to do this.
Dan
N289DT RV10E E
--
| | - The Matronics RV10-List Email Forum - | | | Use the List Feature Navigator to browse the many List utilities available such as the Email Subscriptions page, Archive Search & Download, 7-Day Browse, Chat, FAQ, Photoshare, and much more:
http://www.matronics.com/Navigator?RV10-List |
|
|
|
| Back to top |
|
 |
Bill Schlatterer
Joined: 09 Jan 2006 Posts: 195
|
Posted: Fri Jun 15, 2007 8:50 pm Post subject: brake / fuel line fittings nut torque |
|
|
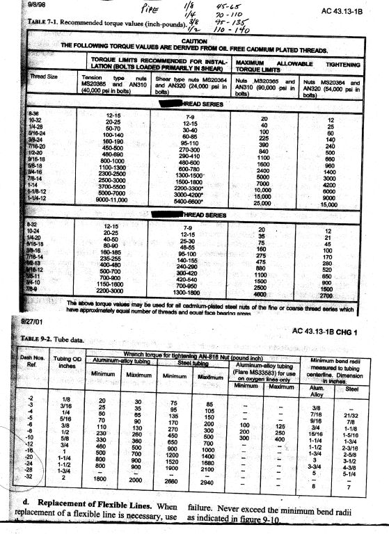
Hope this sizes correctly. AN torque values at the bottom of attachment and
also on page 9-19 of AC 43.
ON page 7-8 and 7-9 of AC 43 (Acceptable Methods and Techniques) it gives
the conversion formulas. Very easy to set up in a spreadsheet.
Shows Crows foot wrench as a "Short Open End Adapter" on pat 7-8
Crows foot wrenches from Sears and adjust for about 1 & 1/2 inch offset.
Actually should have the conversion formulas in the instructions with your
Torque Wrench.
Hope this helps
Bill S
7a Ark
--
| | - The Matronics RV10-List Email Forum - | | | Use the List Feature Navigator to browse the many List utilities available such as the Email Subscriptions page, Archive Search & Download, 7-Day Browse, Chat, FAQ, Photoshare, and much more:
http://www.matronics.com/Navigator?RV10-List |
|
| Description: |
|
| Filesize: |
123.73 KB |
| Viewed: |
446 Time(s) |

|
|
|
| Back to top |
|
 |
MauleDriver(at)nc.rr.com Guest
|
Posted: Sat Jun 16, 2007 4:23 am Post subject: brake / fuel line fittings nut torque |
|
|
That really helps. Thanks for taking the time to scan.
Bill "still prepping for closing up the bottom wing skins" Watson
Bill Schlatterer wrote:
[quote] Hope this sizes correctly. AN torque values at the bottom of attachment and
also on page 9-19 of AC 43.
ON page 7-8 and 7-9 of AC 43 (Acceptable Methods and Techniques) it gives
the conversion formulas. Very easy to set up in a spreadsheet.
Shows Crows foot wrench as a "Short Open End Adapter" on pat 7-8
Crows foot wrenches from Sears and adjust for about 1 & 1/2 inch offset.
Actually should have the conversion formulas in the instructions with your
Torque Wrench.
Hope this helps
Bill S
7a Ark
--
| | - The Matronics RV10-List Email Forum - | | | Use the List Feature Navigator to browse the many List utilities available such as the Email Subscriptions page, Archive Search & Download, 7-Day Browse, Chat, FAQ, Photoshare, and much more:
http://www.matronics.com/Navigator?RV10-List |
|
|
|
| Back to top |
|
 |
Bill Schlatterer
Joined: 09 Jan 2006 Posts: 195
|
Posted: Sat Jun 16, 2007 7:51 pm Post subject: brake / fuel line fittings nut torque |
|
|
I just noticed on the scan that I had highlighted the fine and coarse thread
torque tables and the highlight covered up the fine and coarse headings.
Fine thread torque values at the top, coarse in the middle, there is a big
difference. The AN tubing torque values are on the bottom.
Glad it helped but the best thing to do is get a copy of the AC 43. It's
cheap from Avery or Spruce.
Bill S
--
| | - The Matronics RV10-List Email Forum - | | | Use the List Feature Navigator to browse the many List utilities available such as the Email Subscriptions page, Archive Search & Download, 7-Day Browse, Chat, FAQ, Photoshare, and much more:
http://www.matronics.com/Navigator?RV10-List |
|
|
|
| Back to top |
|
 |
AV8ORJWC
Joined: 13 Jul 2006 Posts: 1149 Location: Aurora, Oregon "Home of VANS"
|
Posted: Sat Jun 16, 2007 9:12 pm Post subject: brake / fuel line fittings nut torque |
|
|
The needed pages are Pages 7-6 through 7-12 and 9-19 specifically for
torques on brake and fuel tubing. I have PDFed the needed pages but for
the benefit of the string and tin-can group it is 4.9MB. So, Send me a
request (offline) and I will forward the passage to those with
high-speed bandwidth and open attachment capability.
If you have a spring adjustable torque wrench don't forget to release
the pressure after using the tool... it helps calibration.
John Cox
--
| | - The Matronics RV10-List Email Forum - | | | Use the List Feature Navigator to browse the many List utilities available such as the Email Subscriptions page, Archive Search & Download, 7-Day Browse, Chat, FAQ, Photoshare, and much more:
http://www.matronics.com/Navigator?RV10-List |
|
|
|
| Back to top |
|
 |
|
|
You cannot post new topics in this forum You cannot reply to topics in this forum You cannot edit your posts in this forum You cannot delete your posts in this forum You cannot vote in polls in this forum You cannot attach files in this forum You can download files in this forum
|
Powered by phpBB © 2001, 2005 phpBB Group
|